树是n个结点的有限集,它或为空树(n=0);或为非空树 二叉树是n(n>=0)个结点所构成的集合,他或为空树(n=0),或为非空树,对于非空树:T (1)结点的度小于等于2; 完全二叉树:深度为K的,有n个结点的二叉树,当且仅当其每一个结点都与深度为K的满二叉树中编号从1至n的结点一一对应。 实现:按完全二叉树的结点层次编号,依次存放二叉树中的数据元素。 结点i: (1)二叉链表 (2)三叉链表
【数据结构——树和二叉树】
目录:
一、树和二叉树的定义
(一)树的定义

(二)基本术语



(三)二叉树的定义
1、二叉树的定义
(1)有且只有一个称之为根的结点;
(2)除根结点之外的其余结点分为两个互不相交的子集T1和T2,分别称为T的左子树和右子树,且T1和T2本身都是二叉树。

2、二叉树的基本特点
(2)有序树(子树有左右之分,且其次序不能任意颠倒)

二、二叉树的性质和存储结构
(一)二叉树的性质

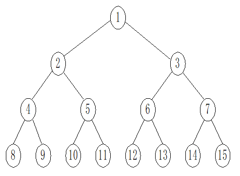
满二叉树:一棵深度为K且有2的K次方-1个结点的二叉树。(特点:每层都充满了结点)


(二)二叉树的存储结构
1、顺序存储结构
特点:
(1)结点间关系蕴含在其存储位置中;
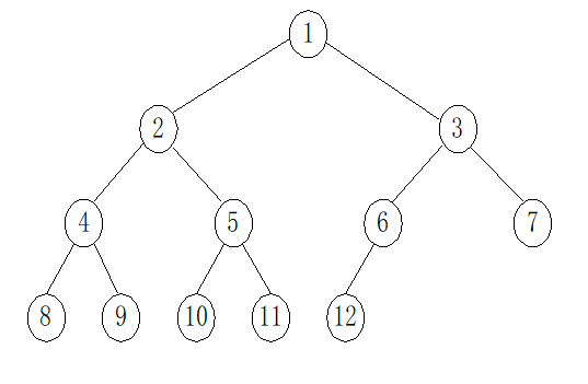
(2)浪费空间,适于存满二叉树和完全二叉树。
双亲结点:【i/2】
左儿子:2i
右儿子:2i + 1

#define MAXTSIZE 100 //二叉树的最大结点数 typedef TElemType SqBiTree[MAXTSIZE];//0号单元存储根结点 SqBiTree bt; 2、链式存储结构

typedef struct BiNode { TElemType data; //数据域 struct BiNode* lchild, * rchild; //左右孩子指针 }BiNode,*BiTree; //二叉树结点 BiTree root; 
在n个结点的二叉链表中,有n+1个空指针域

typedef struct TriTNode { TElemType data; //数据域 struct TriTNode* lchild,* parent * rchild; //左右孩子指针 }TriTNode,*TriTree; //二叉树结点 
本网页所有视频内容由 imoviebox边看边下-网页视频下载, iurlBox网页地址收藏管理器 下载并得到。
ImovieBox网页视频下载器 下载地址: ImovieBox网页视频下载器-最新版本下载
本文章由: imapbox邮箱云存储,邮箱网盘,ImageBox 图片批量下载器,网页图片批量下载专家,网页图片批量下载器,获取到文章图片,imoviebox网页视频批量下载器,下载视频内容,为您提供.
阅读和此文章类似的: 全球云计算
官方软件产品操作指南 (170)