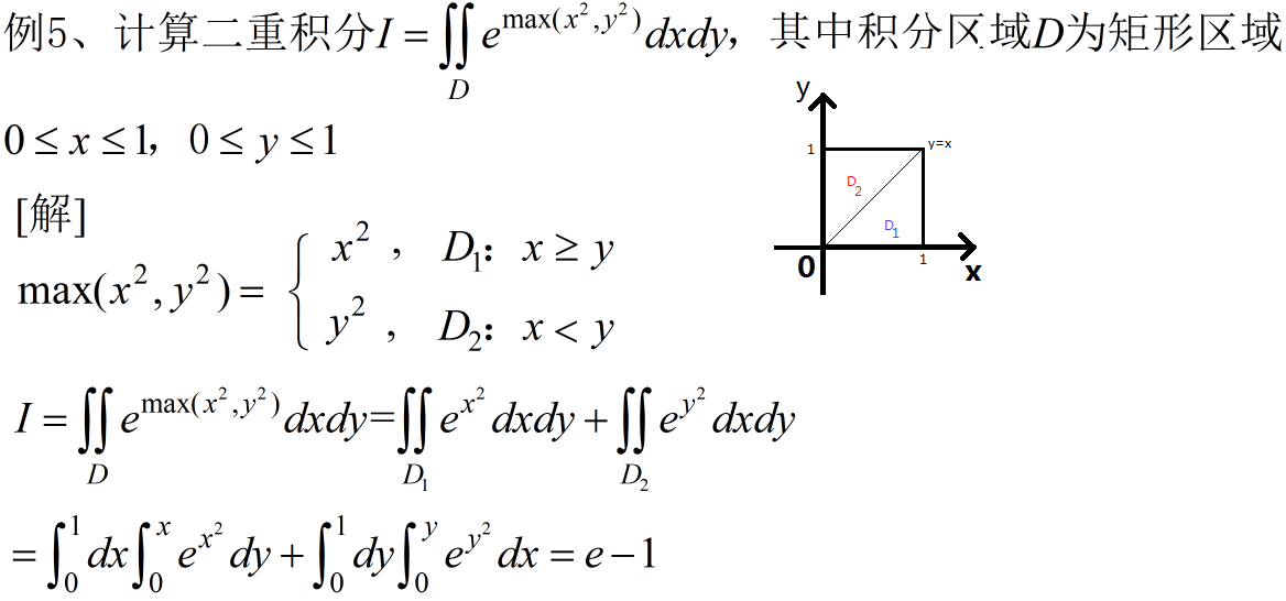
这种含有绝对值的二重积分计算问题,我相信是很多高数初学者有点懵逼的内容 被积函数含有绝对值的二重积分一般都要分正负,最好是画个图来判断正负,有的特殊的可以直接用偶倍奇零的方法解决。例如例1,我们都知道cosx在一象限为正,二象限为负。那么cos(x+y)呢?同理呀。cosx在0到π/2为正,那么cos(x+y)也在0到π/2为正。且题目给了你x和y的取值,俩个取值加起来是不是0到π?那不就是一二象限嘛!而且由此可知,分界线是x+y=π/2。按照题给的范围就是下面那个图的样子。至于下面的图为什么没标π,x的区间为什么都是0到π/2?因为你看嘛,我们已经知道x+y=π/2为分界线,按照我们设的区域,x+y<π/2范围在下方,x+y>π/2的范围在上方。至于为什么没标π,因为,题目给的范围都是0到π/2之间。(个人见解,如有说的不对的地方欢迎指出) 至于下面这种max类型,其实和绝对值打开的判断和计算方法可以说是一模一样,只不过不一样的是。只有最大的才从max这个小黑屋里面出来。以下图为例,先画出给的积分区域把x和y的范围限制住,然后判断max内的数谁大谁小。xy>1那么xy出来;xy<1那么1出来。这样我们很容易知道xy=1即分界线。就如图所示咯 还是不懂?我不信。文章目录
含绝对值

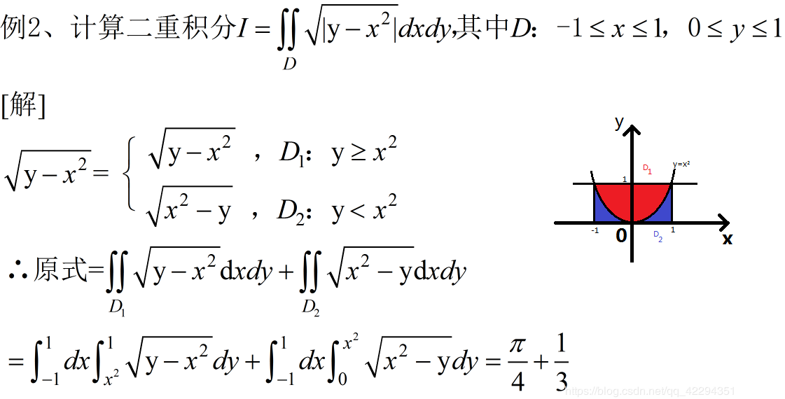
再看例2,根号下的绝对值。肯定是大的一方在前面呀(因为绝对值说明是正数肯定是大的减小的才是正数)。x²>y的话,绝对值打开x²放前面。y>x²的话,绝对值打开y在前面。既然是根据这俩大小来判断的,那么y=x²就是那个分界线。如图画出来。y要比x²大,那么上面红色部分我们称为D1,剩下的蓝色部分就是D2。绝对值打开,俩个区域加起来即可得解。

至于例3,和例2同理,看谁大绝对值打开后谁就在前。分界线就是那个xy=1/4。知道分界线和具体区域后,画个图出来判断。哪个区域是D1,那个区域是D2。加起来!
至于红色划线部分是为了方便计算的。加一个D2在D1的被积函数减一个D2在D1的被积函数,那没变嘛。然后前后俩组分开组合一下,前面一组加起来后,哇哦,就是个正方形了!而后面那组加起来后,变2倍了!!这样计算就容易多了,不然D1还要分区域来计算(浪费草稿纸)

综上:这种含绝对值的题目,主要就是判断绝对值内谁大谁小,打开绝对值后谁正谁负。然后得出个分界线,画个图后,分情况拆区域加起来,算!含max(min同理)

同理

至于这个定积分的。因为是判断max内三个数的大小,所以我们就判断这三个数在x定义域内谁大谁小。即:y=x³,y=x²,y=1。然后我们要判断的是x的范围(x可以是任意数)。x<-1时,我们可以知道三次方那个是最小的,不看了。然后后面俩个,既然x没规定范围,而下限是给定了的,那么0到-1我们知道是小数,那么1更大,放1出来。若不是0到-1的范围呢,就t²更大。放出来,因为x<-1是俩种情况,加起来就完了。当-1<x<1时,明显1最大,放出来计算。x>1时,还是有2种情况,下限给定,x在0到1之间为小数,即1最大,放出来。然后x>1的部分,明显t³最大,放出来计算。俩块部分加起来计算。
最后得出的结论就用如下方式展现出来,这样更直观一些

结束语
本网页所有视频内容由 imoviebox边看边下-网页视频下载, iurlBox网页地址收藏管理器 下载并得到。
ImovieBox网页视频下载器 下载地址: ImovieBox网页视频下载器-最新版本下载
本文章由: imapbox邮箱云存储,邮箱网盘,ImageBox 图片批量下载器,网页图片批量下载专家,网页图片批量下载器,获取到文章图片,imoviebox网页视频批量下载器,下载视频内容,为您提供.
阅读和此文章类似的: 全球云计算
官方软件产品操作指南 (170)