本文是吴恩达深度学习第一课:神经网络与深度学习的笔记。神经网络与深度学习主要讨论了如何建立神经网络(包括一个深度神经网络)、以及如何训练这个网络。 第一课有以下四个部分,本文是第四部分。 有些问题只有深层神经网络才能处理,具体要多少层,也是一个可以探索的超参数。 下面看下描述深层神经网络的符号。 那第二层呢 后面几层以此类推。我们来算下输出层: 因此,基本规律就是: 第一层。 第二层 后面几层以此类推。我们来算下输出层: 因此,基本规律就是: 看起来只要一个 在实现深层神经网络时,想要得到没有bug的程序,最好要仔细核对矩阵的维数。下面就来看一下。 我们来看下上面几个符号的维数。 我们需要 总结起来, 比如 我们知道每个逻辑回归单元只有一个偏置,每层有 在实现反向传播时 再来看下 我们再来看下向量化后的维度,哪怕向量化后,下面这几个参数的维度是一样的。 向量化后, 所以 向量化后 我们先来看下深度神经网络在看下,假设你建立一个人脸识别系统,输入一张人脸图片后,(CNN)隐藏层中的第一层,可以看成是边缘检测。 通常我们可以把这个神经网络前面几层看成是探测边缘的函数,之后把后面几层结合在一起,那么总体上就可以学习更加复杂的函数。 因此,这需要神经网络有一定的深度。深度神经网络其实就是很多隐藏层的神经网络。 当遇到新问题时,建议先从逻辑回归开始,然后尝试一到两层的神经网络,把隐藏层数量当成超参数取寻找比较合适的层数。 正向传播:上面是如何从输入 反向传播:反向传播的输入是 总结起来,在第 如果已经实现了这两个函数,那么神经网络的计算过程会是下面这样的: 首先是正向传播,从 本节我们看下具体如何实现前向和反向传播。 下面看下反向传播的步骤。 上面的公式其实就是上篇文章中反向传播相关的公式。只需要四步,加上对每层的(反向)循环,就能写出反向传播的代码。 接着就可以反向迭代,先是计算 我们已经知道了参数是 超参数就是输入到学习算法的参数,比如学习率在神经网络中还有隐藏层的层数,每个隐藏层的隐藏单元数,还可以选择激活函数。 其他超参数的选择也是一样的。 要注意的是,在开发的过程中,可能学习率(或其他超参数)的最优数值是会变化的,因为电脑的CPU或GPU或者数据可能会变化很大。 (推荐网易云课堂,可以免费看并且还有课堂笔记。) 1. 吴恩达深度学习引言
深层神经网络

我们已经了解逻辑回归和单隐层神经网络了。
下面是2个和5个隐藏层的例子:

我们知道逻辑回归可以看成一个浅层模型,而上图5隐藏层的神经网络明显要深的多。

这是一个四层神经网络,输入层不计。每层的神经元数分别是5,5,3,1。
L表示神经网络的层数,这里
L=4;
n[l]表示
l层上的神经元数量(输入层可以看出第
0层,
n[0]=nx=3);
L来表示,有
n[L]=1。
a[l]=g[l](z[l])表示每层的激活函数值,最后一层激活值
a[L]=y^;
W[l]表示
l层的权值,
b[l]表示每层的偏置;
x表示,
x也可以说是
a[0];深层网络中的前向传播

先看下给定上面这样的神经网络,并有一个样本
x,如何计算第一层的激活值。
x:
z[1]=W[1]a[0]+b[1] 这里的
x用
a[0]来表示。
a[1]=g[1](z[1])
z[2]=W[2]a[1]+b[2]
a[2]=g[2](z[2])
z[4]=W[4]a[3]+b[4]
a[4]=g[4](z[4])=y^
z[l]=W[l]a[l−1]+b[4]
a[l]=g[l](z[l])
上面是针对一个样本,如果多个样本,怎么向量化呢。
X:
Z[1]=W[1]A[0]+b[1] 这里的
X用
A[0]来表示。
A[1]=g[1](Z[1])
Z[2]=W[2]A[1]+b[2]
A[2]=g[2](Z[2])
Z[4]=W[4]A[3]+b[4]
A[4]=g[4](Z[4])=y^
Z[l]=W[l]A[l−1]+b[4]
A[l]=g[l](Z[l])for l in range(1,L+1)循环就好了,这个循环是必须的哦,不能再向量化了。核对矩阵的维数

我们有个这样的NN,我们知道
z[1]=W[1]x+b[1]
z[1]是第一个隐藏层的激活值向量,第一个隐藏层的单元数
n[1]=3,所以它的维度是
(3,1),也可以写成
(n[1],1)。
x有2个输入特征,所以维度是
(2,1),也就是
(n[0],1)。
W[1] 乘以一个
(n[0],1)的向量能得到
(n[1],1)的向量,因此
W[1]的维度要是
(n[1],n[0]),这里是
(3,2)。
W[l] 就是对
l层的每个单元对每个输入都有1个权重,总共有
n[l]个单元,以及
n[l−1]个输入,即**(单元数,输入数)**。
W[l]的维度必须是
(n[l],n[l−1])。
W[2]的维度是
(5,3),即
(n[2],n[1])。
n[l]个单元,因此
b[l]的维度是
(n[l],1)。
dW和
db的维度与
W和
b的维度是一样的。
z[l]和
a[l],因为
z[l]=g[l](a[l]),所以它们的维度是一样的。

变化的是
Z,A,X(=A[0])的维度。
我们已经知道向量化之前上面的维度。
Z[1]=W[1]X+b[1]
Z[1]是
(Z[1](1),Z[1](2),⋯,Z[1](m)) m个样本叠加到一起的结果。
Z[1]的维度是
(n[1],m)。
X也是叠加后的结果,类似
Z[1],
X的维度是
(n[0],m)
向上面所说的
b[1]的维度还是
(n[1],1),我们可以用python的广播直接相加。
Z[l],A[l]的维度中的列变成了样本数。

为什么使用深层表示

上图中的小方块就代表一个隐藏神经元,它们会检测有没有出现这种边缘的图像。
如果把第一层中的边缘放到一起,可能就形成脸部的不同特征。可能有些单元在检测左眼部分,有些在检测鼻子部分。
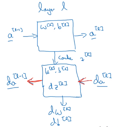
最后把它们放到一起,就可以检测不同的人脸了。搭建深度神经网络

我们先来关注第
l层的。
a[l−1]到输出
a[l]的相关步骤,此时需要把
z[l]的值缓存起来,这样对后面的正向传播和反向传播都很有用。
da[l],输出是
da[l−1]。
l层,我们会有正向函数来计算正向传播

然后用作反向传播的反向函数是
a[0]到
a[L]=y^需要缓存所有的
z[l],以便反向传播时使用。

然后是反向传播

所以神经网络的训练,从
a[0](x)开始,然后经过一系列正向传播得到输出
y^,然后再实现反向传播,更新每层的参数。
前向和反向传播

在前向传递过程中最好也缓存
W[l],b[l],这些都在反向传播中用得到。上图右边就是向量化后的公式。


总结一下,就是给定输入
X,如果用ReLU作为激活函数的话,经过几层隐藏层,最后用sigmoid作为输出层的激活函数,得到输出,然后需要计算出成本函数。
da[L],dW[L],db[L],然后反向传播。
下面我们来看下之前一直说的超参数。参数与超参数
W,b这种,那超参数是什么呢

这些会控制我们得到的参数
W,b,因此它们叫超参数。
应用深度学习是非常依据经验的,可能你知道通常什么样的学习率比较好。如果不知道的话, 你就需要不停的尝试。

比如先尝试了一个比较大的学习率,结果随着迭代次数的增加,损失值反而增加;此时你就需要减小学习率,不停的尝试,最终选择一个比较好的学习率。参考
本网页所有视频内容由 imoviebox边看边下-网页视频下载, iurlBox网页地址收藏管理器 下载并得到。
ImovieBox网页视频下载器 下载地址: ImovieBox网页视频下载器-最新版本下载
本文章由: imapbox邮箱云存储,邮箱网盘,ImageBox 图片批量下载器,网页图片批量下载专家,网页图片批量下载器,获取到文章图片,imoviebox网页视频批量下载器,下载视频内容,为您提供.
阅读和此文章类似的: 全球云计算
官方软件产品操作指南 (170)