机器学习是一种实现人工智能的方法,从数据中寻找规律、建立关系,根据建立的关系去解决问题,从数据中进行经验学习,实现自我优化与升级。 一种经常引用的英文定义是:A computer program is said to learn from experience E with respect to some class of tasks T and performance measure P, if its performance at tasks in T, as measured by P, improves with experience E. 与人工智能比较,我们可以看到人工智能的主要应用场景也都是机器学习的应用场景,这就印证了之前所说,机器学习是实现人工智能的主流方法。 ——训练数据包括正确的结果(标签-label) 监督式学习包含 ——训练数据不包括正确的结果 无监督式学习包含 ——训练数据包括少量正确的结果 ——根据每次结果收获的奖惩进行学习,实现优化 回归分析是根据数据,确定两种或两种以上变量间相互依赖的定量关系 函数表达式: 回归分析中,变量与因变量存在线性关系 函数表达式:y = ax + b 将表中数据用散点图表示出来 可以用梯度下降法进行求解,梯度下降法是寻找极小值的一种方法,通过向函数上当前点对应梯度(或者是近似梯度)的规定步长距离点进行迭代搜索,直到在极小点收敛。
文章目录
什么是机器学习?
维基百科给出的定义:
机器学习的应用场景
实现机器学习的基本框架

将训练数据输入到计算机,计算机自动求解数据关系,在新的数据上做出预测或给出建议。机器学习的类别
监督式学习(Supervised Learning)

对于监督式学习,我们在一开始给出的数据中就已经告诉计算机正确的结果标签:红色的圆对应类别1,蓝色的叉对应类别2,绿色的星对应类别3。根据该结果,监督式学习就会自动地找出数据的边界(图中虚线部分),以后计算机再得到新的数据,不知道其是圆,叉或者星时,就会根据其所在的位置,自动将其划分为对应的类别。
无监督式学习(Unsupervised Learning)

对于无监督式学习,我们在一开始给出的数据中没有告诉计算机正确的结果标签,只是要求计算机将数据分成3类,这样处理数据时就找不出数据的边界,但是却能根据要求,将比较接近的数据划分为一类,最终将所有数据分为3类。当得到新的数据后,将根据其与3类数据的接近程度自动划分为其中一种。
半监督式学习(Semi-supervised Learning)

对于半监督学习,给出的标签数据相对较少一些,但也能根据这些标签数据找到数据的边界,将新数据划分为其中一种。强化学习(Reinforcement Learning)

举个例子,假设有个行走的机器人,它的前面有一面墙,直走的话会撞上去,机器人尝试不同的走法,如上图的行走策略,第一种通过了这面墙为GOOD,第二种撞上了这面墙为BAD

编程时设立奖惩规则,通过+3分,失败-3分,规定机器人行走优化条件是分数越高越好,让程序自动寻找获得高分的方法。学习方式的应用

什么是回归分析 (Regression Analysis) ?

回归分析的种类:

下边将具体讲解线性回归技术线性回归介绍
线性回归问题求解

建立模型的步骤:

具有线性关系,建立线性模型:y = ax + b
现在我们只需要找到合适的a和b,就能解决问题
途径:假设x为变量,y为对应结果,y’为模型输出结果,目标变为:y’尽可能接近y,如下图(m为样本数)

因为后边要求导,为了约掉求导后得到的2m,这里除以2m,变为:

即为该模型的损失函数J,其值越小越好

可以看出J的值是与a、b有关的,那如何找到这个极小值呢?梯度下降法求解线性回归

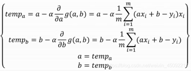
应用此方法求损失函数J的极小值时,首先创建临时变量temp_a和temp_b,然后重复计算直到收敛,此时a与b的值就是要寻求的值

由此得到了线性模型的表达式:y = ax + b
将单因子变量x的值代入就能得到对应的因变量预测值,最后对预测结果做出判断。
本网页所有视频内容由 imoviebox边看边下-网页视频下载, iurlBox网页地址收藏管理器 下载并得到。
ImovieBox网页视频下载器 下载地址: ImovieBox网页视频下载器-最新版本下载
本文章由: imapbox邮箱云存储,邮箱网盘,ImageBox 图片批量下载器,网页图片批量下载专家,网页图片批量下载器,获取到文章图片,imoviebox网页视频批量下载器,下载视频内容,为您提供.
阅读和此文章类似的: 全球云计算
官方软件产品操作指南 (170)