机器学习中谈论神经网络时指 的是”神经网络学 习 ” 或者说,是机器学习与神经网络这两个学科领域的交叉部分 。 神经网络 (neural networks)是由具有适应性的简单单元组成的广泛并行互连的网络,它的组织能够模拟生物神经系统对真实世界物体所作出的交互反应。 理想中的激活函数是图 5 .2(a) 所示的阶跃函数,它将输入值映射为输出值 “0” 或”1″, “1” 对应于神经元兴奋 , “0” 对应于神经元抑制 。然而,阶跃函数具有不连续 、不光滑等不太好的性质,因此实际常用Sigmoid函数如图 5.2(b) 所示作为激活函数典型的 Sigmoid 函数它把可能在较大范围内变化的输入值挤压到 (0, 1) 输出值范围内,因此有 时也称为 “挤压函数” (squashing function) 感知机(Perceptron) 由两层神经元组成,输入层接收外界输入信号后传递给输出层, 输出层是 M-P 神经元。感知机能容易地实现逻辑与、或、非运算 。下面是一个感知机例子: 对训练样例(x, y) , 若当前感知机的输出为y^,感知机学习规则: 上述的与、或和非问题都是现性可分问题,但感知机不能解决非线性可分问题,如:异或。要解决非线性可分问题,需考虑 多层功能神经元 。输出 层与输入居之间的一层神经元,被称为隐层或隐含层 (hidden layer),隐含层和输出层神经元都是拥有激活函数的功能神经元。 误差逆传播 (error BackPropagation,简称 BP)算法是迄今最成功的神经网络学习算法。现实任务中使用神经网络时,大多是在使用 BP 算法进行训练。 下面我们来看看 BP 算法究竟是什么样:
1. 神经元
神经网络中最基本的成分是神经元 (neuron)模型,即”简单单元”。
在生物神经网络中每个神经元与其他神经元相连,当它”兴奋”时,就会向相连的神经元发送化学物质,从而改变这些神经元 内的电位;如果某神经元的电位超过了 一个”阔值” (threshold) , 那么它就会被激活,即 “兴奋 “起来,向其他神经元发送化学物质。
下图是最常用的”M-P 神经元模型 ” :
在这个模型 中 , 神经元接收到来自 n 个其他神经元传递过来的输入信号,这些输入信号通过带权重的连接( connection)进行传递,神经元接收到的总输入值将与神经元 的阀值进行比较,然后通过”激活函数” (activation function) 处理以产生神经元的输出。

把许多个这样的神经元按一定的层次结构连接起来,就得到了神经网络 。2. 感知机与多层网络
2.1感知机



2.2 多层网络
常见的神经网络是形如下图所示的层级结构,每层神经元与下层神经元全互连,神经元之间不存在同层连接,也不存在跨层连接。这样的神经网络结构通常称为” 多层前馈神经网络 “。

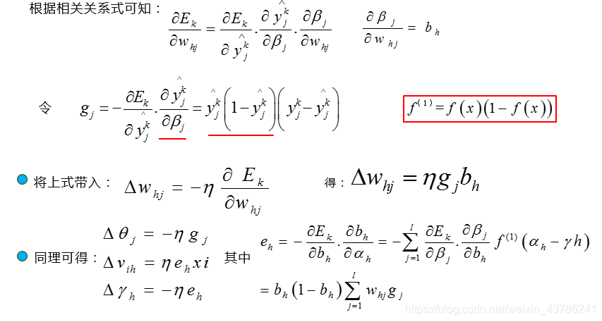
3. 误差逆传播算法

下面是我做的BP算法推导PPT,给大家:



本网页所有视频内容由 imoviebox边看边下-网页视频下载, iurlBox网页地址收藏管理器 下载并得到。
ImovieBox网页视频下载器 下载地址: ImovieBox网页视频下载器-最新版本下载
本文章由: imapbox邮箱云存储,邮箱网盘,ImageBox 图片批量下载器,网页图片批量下载专家,网页图片批量下载器,获取到文章图片,imoviebox网页视频批量下载器,下载视频内容,为您提供.
阅读和此文章类似的: 全球云计算
官方软件产品操作指南 (170)