这是南京大学《软件分析》第二讲 主要讲:静态分析和编译器的关系 编译器 功能:是将程序员写的程序翻译成机器能理解的代码,还要对问题进行报错 所以可以将转换器之前的称为静态分析器的前端、之后称为静态分析器的后端。 但是前端不可缺少,因为之前检查的都是基本的表达式、词法、语法的分析,如果这些都无法通过,就没有必要进行静态分析 主要讲IR和AST的区别,以及为什么在静态分析器中使用IR,而不是使用AST。 抽象语法树的举例: 一个do…while循环: IR 三地址码表示一个do…while循环: 区别: 主要解释了3AC的常规形式和命名原因等。 3-地址码没有一个形式化的定义。通常的格式是,指令右侧最多只有一个操作符。 举例: 3AC最多包含三个地址 地址的类型可以是:变量名,a,b类似的;常量,3,5类似的;编译器产生的临时变量,t1类似的。 每一种指令都会对应不同的3-地址码 常见的3AC形式和解释 这一块由于我JAVA没有学好,所以听的不是很懂,之后会认真研究一下,然后来补这一节(所以,这部分主要以贴图为主) 以举例为主来进行介绍: for循环 do…while 函数调用 类 经典的IR的转换格式。 SSA中的所有操作都会给定一个特有的名字。 举例: SSA的优劣: =>优点:流信息能够通过独特的变量名字来间接结合起来;定义-使用对是很显然的 =>缺点:会引入太多的变量,也会引入太多的 主要介绍,什么是BB CFG的结点可以是一个单独的3-地址码,也可以是一个基础块(常见) Basic Block的定义:最大连续的3-地址码的序列。 性质:有且只有一个入口,就是BB中的第一句指令;有且只有一个出口,最后一个指令就是出口。 如下图就是一个BB:第一句就是唯一的入口,最后一句就是唯一的出口 => 满足 算法的输入:3-地址码指令所代表的程序P 算法的输出:程序P的一组BBs 算法实现: (1)找到程序P的leaders,就是每个BB的入口 哪些属于leader呢? 1> 程序P的第一个指令; 2>每个条件跳转/无条件跳转的目标地址,就是一个leader。(如果该句话和上面语句归并,该语句就会有两个入口:上一个语句到该语句;jump跳转过来的语句) 3>每个条件跳转/无条件跳转的下一条语句,就是一个leader。(如果将该句话和跳转归并,jump语句就有两个出口:jump目标地址和当前语句) (2)创建BBs:一个leader到另一个leader之前的都是一个BB 举例: 如图的leaders:(1);(3)、(7)、(12);(5)、(11)、(12) 主要讲CFG的概念、格式等 从静态分析器的流程来讲,需要知道如何根据3-地址码变成CFG CFG的地位:是静态分析的基础结构。 CFG的每个结点都是BB。所以在上部分获得BBs之后添加边之后就获得了CFG。 添加边的条件: 举例: A、B之间有边相连,A到B:所以A是B的前驱,B是A的后继。BB可以有多个前驱、多个后继 增加两个结点:入口和出口。——但是与实际运行并无关系。 入口和第一条指令的BB有边相连。出口和最后一条指令的BB有边相连。
(十分感谢南大能将这么好的课公开出来,十分感谢李越、谭添老师这么认真的备课,收获很多。笔记中大部分的图都是从老师的视频中截图所得,会添上自己的理解,以及一定的修改)
ps:笔记是上课过程中的记录,所以会有语法、语义等方面的错误,请大家包容和提出,我会时常来看看和修改。1.编译器和静态分析器

=> 所以,静态分析器就是处于Translator到Code Generator之间。输入的是IR。2.AST(抽象语法树)和IR


3.IR: Three-Address Code(3AC)


4.3AC in Real Static Analyzer:Soot
主要就是介绍最流行的JAVA静态分析器:Soot,来更好的理解3AC



JVM的

5.Static Single Assignment(SSA)

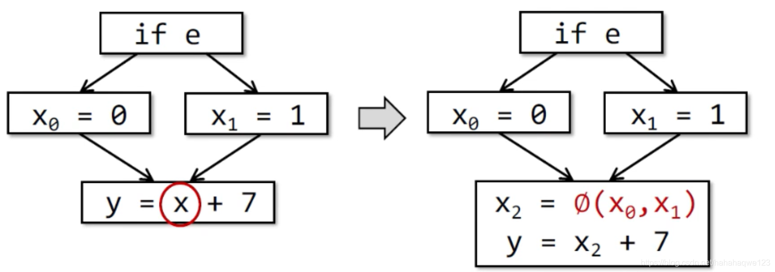
如果该定义出现在控制流中的选择后的合并操作,该如何解决呢?

引入一个**
ϕ方法**,用来处理合并节点的值的选择问题:
ϕ(x0,x1)含义为如果控制流经过true部分该函数的值为
x0,否则函数值为
x1.
ϕ方法;并且将其转换为机器码的时候可能会引入性能上的问题。6.BAISC BLOCK(BB)

通过一个举例来发现该BB的实现算法:

7.Control Flow Graph(CFG)


注意例外:(无条件跳转的,顺序A、B之间不能相连)


所以,如果有部分指令变化了,对于CFG实际上是不会变化的,只有在BB内部才发生变化。

命名:
本网页所有视频内容由 imoviebox边看边下-网页视频下载, iurlBox网页地址收藏管理器 下载并得到。
ImovieBox网页视频下载器 下载地址: ImovieBox网页视频下载器-最新版本下载
本文章由: imapbox邮箱云存储,邮箱网盘,ImageBox 图片批量下载器,网页图片批量下载专家,网页图片批量下载器,获取到文章图片,imoviebox网页视频批量下载器,下载视频内容,为您提供.
阅读和此文章类似的: 全球云计算
官方软件产品操作指南 (170)