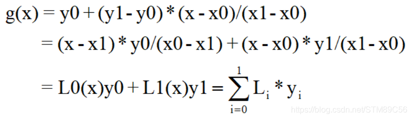
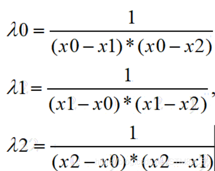
1、插值问题的定义 当精确函数 y = f(x) 非常复杂或未知时,在区间【a,b】上一系列节点x0,x1,x2,……xn处测得函数值f(x0)、f(x1)、f(x2)……f(xn); 由此构造一个简单的简单易算的近似函数g(x)≈f(x),满足条件g(xi)=f(xi) (i=0,1,2…,n)。这个问题就被称为插值问题。 2、上一篇文章,我们介绍了多项式插值,现在我们来介绍一下拉格朗日插值。 问题引入: n=1,一次拉格朗日插值(取两个点,插值多项式最高次数n=2-1=1) 已知点x0、x1及其函数值y0、y1,则根据多项式插值原理,可以确定一个次数不超过n-1(2-1)的代数多项式(n为插值点的个数)g(x)=a0+a1*x,使得g(x0)=y0,g(x1)=y1。其推导过程如下; 表达式最后的形式即为拉格朗日插值多项式的形式。 n=2,二次拉格朗日插值(取三个点,插值多项式最高次数n=3-1=2) 已知点x0、x1、x2及其函数值y0、y1、y2,则根据多项式插值原理,可以确定一个次数不超过n-1(3-1)的代数多项式(n为插值点的个数)g(x)=a0+a1*x+a2*x^2,使得g(x0)=y0,g(x1)=y1,g(x2)=y2。写成拉个朗日擦插值的形式为: 要使g(xi)=yi,其中Lk应满足Lk(xi)=1,k=i ; Lk(xi)=0 ,k≠i;根据Lk(x)的定义,xk以外所有的结点都是Lk(x)的根,因此 又由Lk(xk) = 1,得 将求得的系数带入即可求得二次插值的拉格朗日多项式 n次拉格朗日插值(取n+1个点,插值多项式最高次数n) 其拉个朗日多项式的形式为: 要使g(xi)=yi,其中Lk应满足Lk(xi)=1,k=i ; Lk(xi)=0 ,k≠i;根据Lk(x)的定义,xk以外所有的结点都是Lk(x)的根,因此 又由Lk(xk) = 1,得 综上所述 综上所述,我们有1次,2次,推导出来n次拉个朗日插值多项式的数学公式。 二、matlab代码 一、算法原理







%% 拉格朗日插值 (创建函数脚本方可运行) close clc clear X=[2 3 5 7 8 9]; Y=[5 9 12 16 23 35]; function D=ji(X,n) %求拉格朗日多项式的系数子函数 syms x %法一 % switch n % case 1 % B=x-X(2:end); % C=X(1)-X(2:end); % case length(X) % B=x-X(1:n-1); % C=X(n)-X(1:n-1); % otherwise % B=x-X([1:n-1,n+1:end]); % C=X(n)-X([1:n-1,n+1:end]); % end %法二 Xn=X(n); X(n)=[]; B=x-X; C=Xn-X; D=prod(B)/prod(C);%prod数组元素连乘积 end m=length(X); for i=1:m L1(i)=Y(i)*ji(X,i); end L=sym2poly(expand(sum(L1))) %将符号变量变为数据 x=X(1):0.1:X(end); y=polyval(L,x); %y=polyval(p,x)为返回对应自变量x在给定系数P的多项式的值 plot(x,y) %画拟合曲线 hold on plot(X,Y,'o') %画散点图
本网页所有视频内容由 imoviebox边看边下-网页视频下载, iurlBox网页地址收藏管理器 下载并得到。
ImovieBox网页视频下载器 下载地址: ImovieBox网页视频下载器-最新版本下载
本文章由: imapbox邮箱云存储,邮箱网盘,ImageBox 图片批量下载器,网页图片批量下载专家,网页图片批量下载器,获取到文章图片,imoviebox网页视频批量下载器,下载视频内容,为您提供.
阅读和此文章类似的: 全球云计算
官方软件产品操作指南 (170)